Follow Techotopia on Twitter

On-line Guides
All Guides
eBook Store
iOS / Android
Linux for Beginners
Office Productivity
Linux Installation
Linux Security
Linux Utilities
Linux Virtualization
Linux Kernel
System/Network Admin
Programming
Scripting Languages
Development Tools
Web Development
GUI Toolkits/Desktop
Databases
Mail Systems
openSolaris
Eclipse Documentation
Techotopia.com
Virtuatopia.com
Answertopia.com

How To Guides
Virtualization
General System Admin
Linux Security
Linux Filesystems
Web Servers
Graphics & Desktop
PC Hardware
Windows
Problem Solutions
Privacy Policy

  




 

 

OpenOffice Writer 3.x Guide
Previous Page Home Next Page

Formats

Operation Command Display
Left superscripta lsup{b}{}^b\!a
Center superscripta csup{b}\overset{b}{a}
Right superscripta^{b}ab
Left subscripta lsub{b}{}_b\!a
Center subscripta csub{b}\underset{b}{a}
Right subscripta_{b}ab
Align character to left (text is aligned center by default)stack { Hello world # alignl (a) }
Align character to centerstack{Hello world # alignc(a)}
Align character to rightstack { Hello world # alignr(a)}
Vertical stack of 2binom{a}{b}\stackrel{a}{b}
Vertical stack, more than 2stack{a # b # z}\begin{matrix}a \\ b \\ z \end{matrix}
Matrixmatrix{
a # b ##
c # d
}
\begin{matrix}a & b \\ c & d \end{matrix}
Equations aligned at '=' (using 'matrix') matrix{
a # "=" # alignl{b} ##
{} # "=" # alignl{c+1}
}
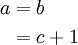
\begin{align}a & = b \\ {} & = c+1 \end{align}
Equations aligned at '=' (using 'phantom') stack{
alignl{a} = b #
alignl{phantom{a} = c+1}
}
\begin{align}a & = b \\ {} & = c+1 \end{align}
New lineasldkfjo newline sadkfj
Small gap (grave)stuff `stuff
Large gap (tilde)stuff~stuff



OpenOffice Writer 3.x Guide
Previous Page Home Next Page

 
 
  Published under the terms of the Creative Commons License Design by Interspire