Follow Techotopia on Twitter

On-line Guides
All Guides
eBook Store
iOS / Android
Linux for Beginners
Office Productivity
Linux Installation
Linux Security
Linux Utilities
Linux Virtualization
Linux Kernel
System/Network Admin
Programming
Scripting Languages
Development Tools
Web Development
GUI Toolkits/Desktop
Databases
Mail Systems
openSolaris
Eclipse Documentation
Techotopia.com
Virtuatopia.com
Answertopia.com

How To Guides
Virtualization
General System Admin
Linux Security
Linux Filesystems
Web Servers
Graphics & Desktop
PC Hardware
Windows
Problem Solutions
Privacy Policy

  




 

 

OpenOffice Writer 3.x Guide
Previous Page Home Next Page

How do I add limits to my sum/integral?

The “sum" and “int" commands can (optionally) take in the parameters “from" and “to". These are used for lower and upper limits respectively. These parameters can be used singly or together. Limits for integrals are usually treated as subscripts and superscripts.

MarkupResult
sum from k = 1 to n a_k
\sum_{k=1}^n a_k
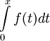
int from 0 to x f(t) dt
or
int_0^x f(t) dt
\int\limits_0^x f(t) dt or \int_0^x f(t) dt
int from Re f\int\limits_\Re f
sum to infinity 2^{-n}\sum_{ }^{\infin} 2^{-n}
Image:documentation_note.pngFor more details on integrals and sums, see the Writer Guide.

OpenOffice Writer 3.x Guide
Previous Page Home Next Page

 
 
  Published under the terms of the Creative Commons License Design by Interspire